- VAE는 입력 데이터를 잠재 변수로 인코딩한 후 샘플링된 잠재 변수로부터 데이터를 디코딩한다.
- 참 / 거짓
- GAN의 판별자는 입력된 데이터가 진짜인지 가짜인지 판별한다.
- 참 / 거짓
- Transformer 모델은 셀프 어텐션 메커니즘을 사용하여 입력 시퀀스 내의 단어 간 관계를 모델링한다.
- 참 / 거짓
- DBN은 여러 층의 제한된 볼츠만 머신(RBM)으로 구성된다.
- 참 / 거짓
- Diffusion 모델은 데이터를 노이즈로 변환한 후 이를 다시 원본 데이터로 복원하는 과정을 학습한다.
- 참 / 거짓
- VAE의 재파라미터화 트릭(reparameterization trick)에 대해 설명하시오.
- 재파라미터화 트릭은 확률 변수의 샘플링 과정에서 그래디언트를 계산할 수 있도록 하는 기법으로, z=μ+σ⊙ϵ\mathbf{z} = \mu + \sigma \odot \mathbf{\epsilon} 형태로 표현됩니다.
- GAN의 생성자와 판별자의 역할을 설명하시오.
- 생성자는 랜덤 노이즈로부터 가짜 데이터를 생성하고, 판별자는 입력된 데이터가 진짜인지 가짜인지 판별합니다.
- Transformer 모델에서 셀프 어텐션(self-attention) 메커니즘의 역할을 설명하시오.
- 셀프 어텐션 메커니즘은 입력 시퀀스 내의 모든 단어 간의 관계를 모델링하여 각 단어의 중요도를 계산합니다.
- Deep Belief Network(DBN)의 학습 과정을 설명하시오.
- DBN은 여러 층의 RBM을 비지도 학습으로 사전 훈련한 후, 전체 네트워크를 지도 학습으로 미세 조정합니다.
- Diffusion 모델의 Forward Process와 Reverse Process를 설명하시오.
- Forward Process는 원본 데이터에 점진적으로 노이즈를 추가하고, Reverse Process는 노이즈 데이터를 원본 데이터로 복원하는 과정입니다.
- VAE의 손실 함수 계산 문제
- 주어진 입력 데이터와 재구성된 데이터 간의 Reconstruction Loss와 KL Divergence를 계산하시오.
- GAN의 손실 함수 계산 문제
- 생성자와 판별자의 손실 함수를 계산하고, 이를 기반으로 가중치 업데이트 과정을 설명하시오.
- Transformer 모델의 어텐션 값 계산 문제
- 주어진 Query, Key, Value 값을 이용하여 어텐션 메커니즘의 출력 값을 계산하시오.
- VAE의 응용 문제
- VAE를 이용하여 특정 이미지 데이터를 생성하는 과정을 설명하시오.
- GAN의 응용 문제
- GAN을 이용하여 이미지 변환(예: 흑백 이미지에서 컬러 이미지로)을 수행하는 과정을 설명하시오.
- Transformer를 이용한 기계 번역 문제
- Transformer 모델을 이용하여 문장을 번역하는 과정을 설명하시오.
- DBN을 이용한 이미지 분류 문제
- DBN을 이용하여 이미지 분류를 수행하는 과정을 설명하시오.
- Diffusion 모델을 이용한 이미지 복원 문제
- Diffusion 모델을 이용하여 노이즈가 추가된 이미지를 복원하는 과정을 설명하시오.
주요 이론 및 알고리즘

- 변분추론은 posterior 확률을 근사하기 위해 사용된다.
- 참 / 거짓
- VAE는 입력 데이터를 잠재 변수로 인코딩한 후, 이 잠재 변수로부터 데이터를 디코딩한다.
- 참 / 거짓
- GAN의 생성자는 입력 데이터가 진짜인지 가짜인지 판별하는 역할을 한다.
- 참 / 거짓 (GAN의 생성자는 새로운 데이터를 생성하는 역할을 하고, 판별자는 입력 데이터가 진짜인지 가짜인지 판별하는 역할을 합니다.)
- Wasserstein GAN은 모드 붕괴 문제를 해결하기 위해 Wasserstein distance를 사용한다.
- 참 / 거짓
- Cycle GAN은 paired 데이터셋을 필요로 한다.
- 참 / 거짓 (Cycle GAN은 paired 데이터셋 없이도 학습할 수 있습니다.)
- Variational Inference(변분추론)의 목표와 이를 사용하는 이유를 설명하시오.
- 변분추론의 목표는 데이터 x가 주어졌을 때 잠재 변수 z의 posterior 확률 p(z∣x를 근사하는 것입니다. 이는 p(z∣x)를 직접 계산하는 것이 어려운 문제(intractable)일 때 유용하며, 주어진 q(z) 분포를 p(z∣x)에 가깝게 만드는 방식으로 접근합니다.
- Variational Autoencoder(VAE)의 ELBO를 최대화하는 것이 중요한 이유를 설명하시오.
- Evidence Lower Bound (ELBO)를 최대화하는 것은 Kullback-Leibler divergence (DKL)를 최소화하는 효과를 가지며, 이는 q(z)가 p(z∣x)와 가깝다는 것을 의미합니다. ELBO를 최대화하면 모델이 더 좋은 근사 posterior를 학습할 수 있습니다.
- GAN의 기본 구조와 학습 과정을 설명하시오.
- GAN은 두 개의 신경망, 생성자(Generator)와 판별자(Discriminator)로 구성됩니다. 생성자는 랜덤 노이즈로부터 가짜 데이터를 생성하고, 판별자는 입력된 데이터가 진짜인지 가짜인지 판별합니다. 학습 과정에서 생성자는 판별자를 속이도록 학습하고, 판별자는 가짜 데이터를 잘 판별하도록 학습합니다. 이 과정은 두 네트워크가 경쟁적으로 학습하는 minimax 게임으로 표현됩니다.
- Cycle GAN의 Cycle Consistency Loss가 중요한 이유를 설명하시오.
- Cycle Consistency Loss는 Cycle GAN에서 입력 이미지가 타겟 도메인으로 변환된 후 다시 원래 도메인으로 변환되었을 때, 원본 이미지와 동일해야 한다는 제약을 부여합니다. 이는 비슷한 특징을 가진 이미지를 생성하도록 도와줍니다.
- Wasserstein GAN이 모드 붕괴 문제를 해결하는 방법을 설명하시오.
- Wasserstein GAN은 모드 붕괴 문제를 해결하기 위해 Wasserstein distance(지구 이동 거리)를 사용합니다. 이는 두 확률 분포 간의 차이를 더 세밀하게 측정할 수 있으며, 학습 과정에서 생성자와 판별자가 균형 있게 성장할 수 있도록 도와줍니다.
1. VAE의 손실 함수 계산 문제
- 주어진 입력 데이터와 재구성된 데이터 간의 Reconstruction Loss와 KL Divergence를 계산하시오.

2. GAN의 손실 함수 계산 문제
- 생성자와 판별자의 손실 수를 계산하고, 이를 기반으로 가중치 업데이트 과정을 설명하시오.

3. Wasserstein GAN의 손실 함수 계산 문제
- Wasserstein distance 기반 손실 함수를 사용하여 생성자와 판별자의 손실을 계산하시오.

- VAE를 이용하여 새로운 데이터를 생성하는 과정을 설명하시오.
- VAE는 입력 데이터를 인코딩하여 잠재 변수를 얻고, 이 잠재 변수로부터 새로운 데이터를 디코딩합니다. 잠재 변수를 샘플링할 때, 학습된 분포를 사용하여 다양한 데이터를 생성할 수 있습니다.
- GAN을 이용하여 특정 클래스의 이미지를 생성하는 방법을 설명하시오.
- Conditional GAN을 사용하여 클래스 정보를 생성자와 판별자에 입력으로 제공하면, 특정 클래스에 해당하는 이미지를 생성할 수 있습니다.
- Transformer를 이용한 자연어 처리 모델의 학습 과정을 설명하시오.
- Transformer 모델은 셀프 어텐션 메커니즘을 사용하여 입력 시퀀스 내의 모든 단어 간의 관계를 모델링합니다. 학습 과정에서는 입력 시퀀스와 타겟 시퀀스를 사용하여 다음 단어를 예측하도록 모델을 훈련합니다.
- DBN을 이용하여 이미지 데이터를 분류하는 과정을 설명하시오.
- Deep Belief Network(DBN)는 여러 층의 Restricted Boltzmann Machine(RBM)으로 구성되며, 각 층을 비지도 학습으로 사전 훈련한 후 전체 네트워크를 지도 학습으로 미세 조정하여 이미지 데이터를 분류합니다.
- Diffusion 모델을 이용하여 노이즈가 추가된 이미지를 복원하는 과정을 설명하시오.
- Diffusion 모델은 Forward Process를 통해 데이터에 점진적으로 노이즈를 추가하고, Reverse Process를 통해 노이즈가 추가된 데이터를 원본 데이터로 복원합니다. 학습 과정에서는 이 두 과정을 반복하여 모델이 노이즈 제거를 학습합니다.
- Variational Inference(변분추론)의 목적과 사용하는 이유를 설명하시오.
- 변분추론의 목적은 데이터 xx가 주어졌을 때 잠재 변수 z의 posterior 확률 p(z∣x)를 근사하는 것입니다. 이는 p(z∣x)를 직접 계산하는 것이 어려운 문제(intractable)일 때 유용하며, 주어진 q(z) 분포를 p(z∣x)에 가깝게 만드는 방식으로 접근합니다.
- Variational Autoencoder(VAE)의 ELBO를 최대화하는 것이 중요한 이유를 설명하시오.
- Evidence Lower Bound (ELBO)를 최대화하는 것은 Kullback-Leibler divergence (DKL)를 최소화하는 효과를 가지며, 이는 q(z)가 p(z∣x)와 가깝다는 것을 의미합니다. ELBO를 최대화하면 모델이 더 좋은 근사 posterior를 학습할 수 있습니다.
- Diffusion 모델의 forward와 reverse 과정을 설명하시오.
- Diffusion 모델의 forward 과정에서는 원본 데이터에 점진적으로 노이즈를 추가하여 노이즈 데이터 xT를 생성합니다. reverse 과정에서는 이 노이즈 데이터를 원본 데이터로 되돌리는 과정을 통해 데이터를 복원합니다. 이는 Markov Process를 따릅니다.
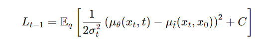
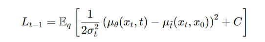
- DDPM의 Loss function에 대해 설명하시오.
- DDPM의 Loss function은 두 평균의 차이를 최소화하여 DKL을 줄이는 데 중점을 둡니다. 노이즈 사이의 공분산은 없다고 가정하며, 각 단계에서의 노이즈를 예측하여 최종적으로 원본 데이터를 재구성합니다.
- Stable Diffusion 모델의 주요 특징을 설명하시오.
- Stable Diffusion 모델은 전체 이미지에 대해 DDPM을 실행하는 대신, autoencoder로 압축된 중요한 latent 정보에 대해 DDPM을 수행합니다. 이는 U-Net architecture와 cross-attention mechanism을 사용하여 추가 정보(예: 텍스트)에 조건화된 이미지를 생성합니다.
1. VAE의 손실 함수 계산 문제
- 주어진 입력 데이터와 재구성된 데이터 간의 Reconstruction Loss와 KL Divergence를 계산하시오.

2. GAN의 손실 함수 계산 문제
- 생성자와 판별자의 손실 함수를 계산하고, 이를 기반으로 가중치 업데이트 과정을 설명하시오.

3. Diffusion 모델의 Loss function 계산 문제
- Forward 및 Reverse 과정에서 각 단계의 Loss function을 계산하시오.

- VAE를 이용하여 새로운 데이터를 생성하는 과정을 설명하시오.
- VAE는 입력 데이터를 인코딩하여 잠재 변수를 얻고, 이 잠재 변수로부터 새로운 데이터를 디코딩합니다. 잠재 변수를 샘플링할 때, 학습된 분포를 사용하여 다양한 데이터를 생성할 수 있습니다.
- GAN을 이용하여 특정 클래스의 이미지를 생성하는 방법을 설명하시오.
- Conditional GAN을 사용하여 클래스 정보를 생성자와 판별자에 입력으로 제공하면, 특정 클래스에 해당하는 이미지를 생성할 수 있습니다.
- Transformer를 이용한 자연어 처리 모델의 학습 과정을 설명하시오.
- Transformer 모델은 셀프 어텐션 메커니즘을 사용하여 입력 시퀀스 내의 모든 단어 간의 관계를 모델링합니다. 학습 과정에서는 입력 시퀀스와 타겟 시퀀스를 사용하여 다음 단어를 예측하도록 모델을 훈련합니다.
- DDPM을 사용하여 이미지 데이터를 생성하는 과정을 설명하시오.
- DDPM은 원본 데이터에 노이즈를 추가하는 forward process와, 노이즈 데이터로부터 원본 데이터를 복원하는 reverse process를 사용하여 이미지 데이터를 생성합니다. 학습 과정에서 모델은 노이즈 제거를 학습하며, 이를 통해 새로운 이미지를 생성할 수 있습니다.
- Stable Diffusion 모델을 이용하여 텍스트 조건화 이미지를 생성하는 과정을 설명하시오.
- Stable Diffusion 모델은 autoencoder를 사용하여 원본 이미지를 latent 공간으로 변환하고, 이 latent 공간에서 diffusion 모델을 적용합니다. 텍스트 조건화 정보를 CLIP 기반으로 제공하여 이미지 생성 과정에 반영합니다.
- XAI는 AI 시스템의 투명성과 해석 가능성을 향상시키기 위한 기술이다.
- 참 / 거짓
- LIME은 모델 내부의 프로세스를 설명하는 본질적인 방법이다.
- 거짓 (LIME은 Post-hoc 모델-불가지론적 방법입니다.)
- Grad-CAM은 주로 CNN 구조를 해석하는 데 사용된다.
- 참 / 거짓
- SHAP 값은 모델의 출력을 설명하기 위한 유일한 솔루션을 제공한다.
- 참 / 거짓
- 내재적 방법(intrinsic methods)은 일반적으로 성능 저하를 초래하지 않는다.
- 거짓 (내재적 방법은 성능 저하를 초래할 수 있습니다.)
- XAI가 중요한 이유를 설명하시오.
- XAI는 AI 시스템의 결정을 이해하고 신뢰를 구축하는 데 중요한 역할을 합니다. 이는 특히 의료, 법률, 금융과 같은 중요한 분야에서 AI 모델이 사용될 때 더 중요합니다. 또한, XAI는 AI 시스템의 편향성을 줄이고, 공정성을 높이며, 보안 및 윤리적 문제를 해결하는 데 도움을 줍니다.
- LIME의 기본 아이디어와 작동 방식을 설명하시오.
- LIME(Local Interpretable Model-agnostic Explanations)은 특정 예측에 대한 로컬 해석을 제공하는 포스트-호크 모델-불가지론적 방법입니다. 이는 복잡한 모델을 단순한 선형 모델로 근사하여 각 특징의 기여도를 설명합니다. LIME은 데이터 포인트 주변의 새로운 샘플을 생성하고, 원래 모델로부터 예측을 얻은 후, 이 예측을 사용하여 로컬 선형 모델을 학습합니다.
- Grad-CAM과 CAM의 차이점을 설명하시오.
- CAM(Class Activation Mapping)은 특정 클래스에 대한 활성화 맵을 생성하여 CNN 모델이 특정 클래스에 주목하는 영역을 시각화합니다. Grad-CAM(Gradient-weighted CAM)은 CAM의 확장으로, 모든 CNN 구조에 적용될 수 있으며, 특정 클래스에 대한 그래디언트를 계산하여 활성화 맵을 생성합니다. Grad-CAM은 특히 FC 레이어가 있는 모델에서도 사용할 수 있습니다.
- SHAP의 세 가지 고유한 속성을 설명하시오.
- SHAP(Shapley Additive exPlanations)의 세 가지 고유한 속성은 다음과 같습니다:
- Local Accuracy (로컬 정확성): SHAP 값의 합은 원래 모델의 예측 값과 일치합니다.
- Missingness (누락성): 만약 어떤 특징이 모델에서 제외된다면, 그 특징의 SHAP 값은 0이 됩니다.
- Consistency (일관성): 모델의 예측이 특정 특징에 대해 일관되게 증가할 때, 그 특징의 SHAP 값도 일관되게 증가합니다.
- SHAP(Shapley Additive exPlanations)의 세 가지 고유한 속성은 다음과 같습니다:
- XAI가 AI 보안에 기여할 수 있는 방법을 설명하시오.
- XAI는 AI 모델의 결정을 해석하고 설명함으로써 보안에 기여할 수 있습니다. 이는 모델이 예기치 않은 방식으로 작동하거나 악의적인 공격에 취약할 때, 이를 조기에 감지하고 대응할 수 있게 합니다. 또한, 모델의 작동 방식을 이해함으로써 보안 취약점을 줄이고, 신뢰성을 높일 수 있습니다.
- LIME을 사용하여 특정 예측을 설명하는 선형 모델을 학습하는 과정을 설명하고, 샘플링 방법을 계산하시오.

2. SHAP 값을 계산하는 과정을 설명하고, SHAP 값을 유도하는 방법을 계산하시오.

- XAI를 사용하여 의료 진단 모델의 신뢰성을 높이는 방법을 설명하시오.
- XAI를 통해 의료 진단 모델의 예측을 설명함으로써 의사와 환자가 모델의 결정을 이해하고 신뢰할 수 있게 합니다. 이는 모델이 어떤 특징에 주목하여 진단을 내렸는지 설명함으로써 가능합니다. 예를 들어, LIME이나 SHAP을 사용하여 특정 진단에 영향을 미친 주요 특징을 시각화할 수 있습니다.
- Grad-CAM을 사용하여 이미지 분류 모델의 성능을 개선하는 방법을 설명하시오.
- Grad-CAM을 사용하여 이미지 분류 모델이 특정 클래스에 대해 주목하는 이미지를 시각화할 수 있습니다. 이를 통해 모델이 잘못된 부분에 주목하고 있거나, 불필요한 부분에 집중하고 있는지 확인할 수 있습니다. 이 정보를 바탕으로 모델을 수정하고, 더 나은 성능을 얻을 수 있습니다.
- LIME을 사용하여 텍스트 분류 모델의 예측을 설명하는 방법을 설명하시오.
- LIME을 사용하여 텍스트 분류 모델의 특정 예측을 설명할 수 있습니다. 예를 들어, LIME을 사용하여 모델이 텍스트에서 어떤 단어에 주목하여 특정 클래스로 분류했는지 설명할 수 있습니다. 이는 모델의 결정을 이해하고, 필요 시 모델을 수정하는 데 도움을 줍니다.
- SHAP 값을 사용하여 금융 모델의 공정성을 평가하는 방법을 설명하시오.
- SHAP 값을 사용하여 금융 모델의 예측에 기여한 각 특징의 중요도를 평가할 수 있습니다. 이를 통해 특정 특징이 예측에 과도하게 영향을 미치고 있는지 확인할 수 있습니다. 만약 특정 특징이 편향된 결과를 초래하고 있다면, 이를 수정하여 모델의 공정성을 높일 수 있습니다.
- DeepLift를 사용하여 이미지 인식 모델의 성능을 개선하는 방법을 설명하시오.
- DeepLift를 사용하여 이미지 인식 모델의 특정 예측에 기여한 픽셀이나 영역을 시각화할 수 있습니다. 이를 통해 모델이 잘못된 부분에 집중하고 있는지 확인하고, 필요 시 데이터를 수정하거나 모델을 재학습시켜 성능을 개선할 수 있습니다.
'Technology' 카테고리의 다른 글
| Explainable AI (0) | 2024.06.01 |
|---|---|
| Transformers (0) | 2024.05.25 |
| 2-3. Variational Autoencoder (VAE) (0) | 2024.05.10 |
| 2-2. Deep Belief Networks (0) | 2024.05.04 |
| 7wk_Multimodal Learning (0) | 2024.04.20 |