diamonds 자료를 이용하여 각 문항에 대한 답을 알아보기 위한 R code 와 수행 결과, 그리고 결과 해석을 모두 제출하시오.
library(tidyverse)
diamonds
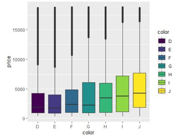
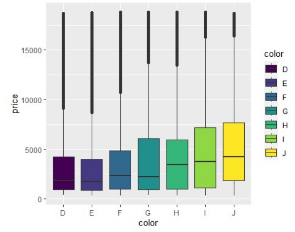
1. color 에 따라 price 에 차이가 있을까?
ggplot(diamonds,aes(color,price,fill=color))+geom_boxplot()

2. cut 에 따라 price 에 차이가 있을까?
ggplot(diamonds,aes(price))+geom_freqpoly(aes(color=cut))

3. color 와 cut 에 따라 price 에 차이가 있을까?
ggplot(diamonds, aes(color, cut, fill = cut)) +
geom_boxplot()

4. price 와 carat 의 관계를 전체 자료를 이용하여 살펴보시오.
ggplot(diamonds,aes(carat,price))+geom_point()

5. price 와 carat 의 관계를 color 별로 나누어 살펴보시오.
ggplot(diamonds,aes(carat,price,color=color))+geom_point()

6. price 와 carat 의 관계를 cut 별로 나누어 살펴보시오.
ggplot(diamonds,aes(carat,price,color=cut))+geom_point()+geom_smooth()

'Data visualization > 데이터시각화(R)' 카테고리의 다른 글
| 데이터시각화(R)_Tibbles (0) | 2023.10.15 |
|---|---|
| 데이터시각화(R)_Tips (1) | 2023.10.15 |
| 데이터시각화(R)_Diamonds (0) | 2023.10.04 |
| 데이터시각화(R)_Shiny (0) | 2023.10.03 |
| 데이터시각화(R)_USA-covid19 (0) | 2023.10.03 |