Data visualization 42

데이터시각화(R)_Data Import

readr package 의 flat file 을 부르는 함수들 read_csv() : 자료가 ,로 분리된 형태의 파일을 읽는다. read_csv2(): 자료가 ;로 분리된 형태의 파일을 읽는다. (,가 소숫점을 대신 하는 나라의 경우 많이 이용) read_tsv() : 자료가 \t(tab)으로 분리된 형태의 파일을 읽는다 read_delim() : delim 에 설정된 형태로 분리된 파일을 읽는다. read_fwf() : 고정폭으로 된 파일을 읽는다. field 를 fwf_widths()로 지정하거나 position 을 fwf_positions()로 지정 read_table() : 공백으로 분리된 형태의 파일 읽기 library(tidyverse) heights [DBGUIDE 연재] ggplot2를 ..

데이터시각화(R)_Tibbles2

6. Combining multiple operations with the pipe 각 도착지별로 distance 와 average delay 의 관계 살펴보기 library(tidyverse) library(nycflights13) flights by_dest = group_by(flights,dest) by_dest delay %를 이용하면 간편 delays % group_by(dest) %>% summarise( count = n(), dist = mean(distance, na.rm = TRUE), delay = mean(arr_delay, na.rm = TRUE) ) %>% filter(count > 20, dest != "HNL") - summarise : 각 그룹의 요약 통계량 계산 - co..

데이터시각화(R)_Tibbles

iris 데이터 불러오기 library(tidyverse) head(iris) class(iris) iris를 tibble로 저장하기 irisT=as_tibble(iris) irisT Sepal.Length Sepal.Width Petal.Length Petal.Width 1 5.1 3.5 1.4 0.2 2 4.9 3 1.4 0.2 3 4.7 3.2 1.3 0.2 4 4.6 3.1 1.5 0.2 5 5 3.6 1.4 0.2 6 5.4 3.9 1.7 0.4 7 4.6 3.4 1.4 0.3 8 5 3.4 1.5 0.2 9 4.4 2.9 1.4 0.2 10 4.9 3.1 1.5 0.1 class(irisT) "tbl_df" "tbl" "data.frame" tibble()을 이용하여 데이터셋 만들기 tibbl..

데이터시각화(R)_Diamonds

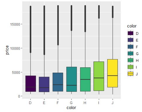
diamonds 자료를 이용하여 각 문항에 대한 답을 알아보기 위한 R code 와 수행 결과, 그리고 결과 해석을 모두 제출하시오. library(tidyverse) diamonds 1. color 에 따라 price 에 차이가 있을까? ggplot(diamonds,aes(color,price,fill=color))+geom_boxplot() 2. cut 에 따라 price 에 차이가 있을까? ggplot(diamonds,aes(price))+geom_freqpoly(aes(color=cut)) 3. color 와 cut 에 따라 price 에 차이가 있을까? ggplot(diamonds, aes(color, cut, fill = cut)) + geom_boxplot() 4. price 와 carat ..

데이터시각화(R)_Diamonds

Diamonds: 53,940 개의 다이아몬드에 대한 자료 변수들 - carat: 다이아몬드 무게(lb) - cut: 절단면에 대한 품질 (Fair, Good, VeryGood, Premium, Ideal) - color: 다이아몬드 색깔 (D:best ~ J:worst) - clarity: 다이아몬드의 맑고 깨끗한 정도 (I1:worst, SI2, SI1, VS2, VS1, VVS2, VVS1, I F:best) - depth: 깊이 = 2*z/(x+y) - table: 상단면 - price: 다이아몬드 가격(dollar) - x: length - y: width - z: depth library(tidyverse) diamonds ggplot(diamonds,aes(depth))+geom_histog..

데이터시각화(R)_Shiny

Shiny란? R에서 웹 프로그래밍을 가능하게 해주는 패키지 최신 웹 브라우저를 이용하여 인터렉티브한 데이터 정리와 질의를 쉽게 할 수 있는 기능을 제공 다양한 위젯이 있어 사용자 인터페이스와 인터렉티브 기능을 쉽고 빠르게 구현할 수 있게 함 install.packages("shiny") library(shiny) 샘플 불러오기 runExample("01_hello") Shiny Web App # Define UI for application that draws a histogram fluidPage( # Application title titlePanel("Old Faithful Geyser Data"), # Sidebar with a slider input for number of bins sideb..

데이터시각화(R)_Covid19

https://ourworldindata.org/는 잉글랜드와 웨일즈에 등록된 자선단체인 Global Change Data Lab 의 프로젝트로 빈곤, 질병, 기아, 환경 문제, 전쟁, 사회적 불평등 등의 대규모 국제 문제를 다 루는 과학 온라인 간행물이다. 2020년 코로나19로 인해 Our World in Data는 코로나19 대유행 에 대한 글로벌 데이터 및 연구를 게시하는 선도적인 조직 중 하나가 되었다. https://github.com/owid/covid-19-data/tree/master/public/data 에서 download한 owid-coviddata.csv 의 자료 중 한국에 대한 자료만을 KOREA-covid19.csv에 저장하였다. KOREA-covid19.csv를 살펴보고 해..

데이터시각화(R)_Oxboys/faithful

Oxboys data: - Oxford에 있는 26명 소년에 대한 자료로 소년이 나이가 들어감에 따라 키가 커가는지 보기 위해 9번 측정한 자료 - 변수 설명: subject(각 소년의 ID), age(표준화된 나이), height(키), occasion(키가 측정된 순서) library(nlme) data(Oxboys) library(tidyverse) head(Oxboys) Grouped Data: height ~ age | Subject Subject age height Occasion 1 1 -1.0000 140.5 1 2 1 -0.7479 143.4 2 3 1 -0.4630 144.8 3 4 1 -0.1643 147.1 4 5 1 -0.0027 147.7 5 6 1 0.2466 150.2 6 g..

728x90